武汉岩土所提出岩石天然微裂纹对P波波速影响研究的新方法

来源: 时间:2019-11-11

  岩石微观结构特征是影响岩石力学性质的重要因素之一。岩石的不同微观结构特征通常来源于其含有不同含量、分布及取向的孔隙。根据形状来分,孔隙一般分为圆形孔洞和扁平状的微裂纹。前人研究表明,相较于孔洞,微裂纹变形对外力更为敏感。微裂纹的存在极大地影响着岩石的受力变形和破坏特征。然而,在室内试验中很难获取微裂纹信息,特别是应力作用下微裂纹的演化过程。波速监测是反演岩石微裂纹演化的重要手段,在围压作用下,研究微裂纹纵横比、数量和定向排列分别如何影响岩石波速,对岩石物理特征分析有重要意义。 

  基于以上科学问题,中国科学院武汉岩土力学研究所提出了一种基于离散单元法研究天然微裂纹对P波波速影响的新方法,并分析了低裂纹密度条件下,微裂纹数量、纵横比和取向对P波波速的影响。该方法首先通过密集排列的颗粒建立岩石样本模型。采用Flat-joint接触模型,通过设置未粘结接触间的初始间隙,在岩石试样中插入张开的天然微裂纹。对比室内岩石物理试验结果,验证了所建立模型对研究围压作用下,天然微裂纹对P波波速影响模拟的有效性和正确性(图1)。进而,通过控制未粘结的颗粒数量、宽度和接触取向,研究了天然微裂纹数量、纵横比和定向排列对P波波速的影响。 

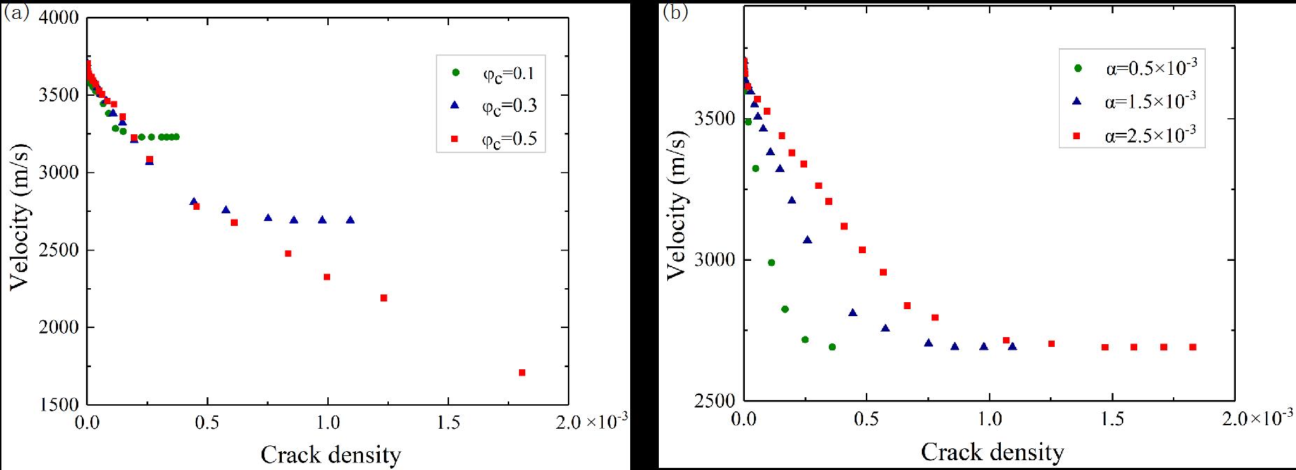
  研究结果表明:对于各向同性的岩石,P波波速受控于微裂纹数量,而闭合压力仅与微裂纹纵横比有关(图2);当岩石中的微裂纹定向排列时,波速测量路径上的微裂纹数量的不同是造成P波波速具有各向异性的原因(图3-4);P波波速对围压的响应同时受控于微裂纹数量和纵横比,波速最小值由裂纹数量决定,而微裂纹纵横比越小(裂纹越窄),波速对围压越敏感(图5)。通过波速反演裂纹密度需要考虑微裂纹的数量、纵横比和方向等特征。 

    本研究相关成果发表于SCI期刊Journal of Rock Mechanics and Geotechnical Engineering,第一作者为武汉岩土所直博生申海萌,通讯作者为李琦研究员。该研究成果得到国家自然科学基金、湖北省自然科学基金和岩土力学与工程国家重点实验室开放基金共同资助。

    论文链接:1

图1 围压作用下波速和裂纹密度测量结果

图2 微裂纹数量、纵横比和方向对P波速度的影响(a);裂纹纵横比对闭合压力的影响(b)

图3 不同围压条件下,微裂纹方向对波速各向异性的影响(a);围压对不同取向微裂纹闭合的影响(b)

图4 微裂纹取向为0度时,围压对接触分布的影响

图5 波速对围压响应的影响:微裂纹数量(a)和纵横比(b)的改变

附件下载: