我国目前正处在经济结构转型阶段,对提高当前能源资源开发效率有着迫切的需求,尤其是深地资源开发利用,包括深部矿产资源,油气资源,干热岩资源等。而当前我国深地资源的开采核心技术还未完善,根本原因是1000m以下的矿产资源的工程地质条件十分复杂,不可避免的会遇到高地应力,高渗透压、高地温等问题。如干热岩(Hot Dry Rock)是指地下深部具有高温而由于低渗透性和孔隙度缺少流体的岩体,是一种新型地热资源,深部干热岩资源深度可达到5000m以上,温度可达到350℃温度以上,中国大陆(3-10km深度)干热岩地热资源总量为20.9×106EJ,合714.9×1012t标准煤。若按2%的可开采资源量计算,相当于中国2010年能源消耗总量的 4400 倍。虽然干热岩资源有着巨大的开发潜力,但目前在国内外的干热岩开发利用过程中存在很多亟待完善的技术问题,如人工压裂、地热地质模型、地下高温岩体多场耦合过程等。所以对深地资源岩体处于高温度-应力耦合环境中的力学性能及其作用机理进行深入研究是获取深地资源开发利用核心技术的关键所在。
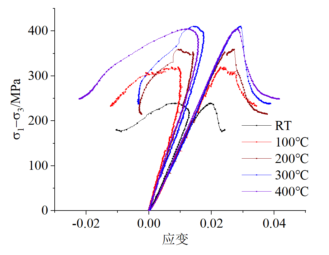
基于以上问题,中国科学院武汉岩土力学研究所岩土工程多场耦合效应组团队攻克高温固体传热技术、全刚性加载技术、高精度应变监测等一系列技术难题,自行研制了高温全刚性真三轴试验系统,该系统主要由以下3个子系统构成:全刚性力学加载系统、高温温控系统、数据采集与分析系统。该系统的主要创新点与先进性如下:(1)该试验系统可真实模拟深部岩体所处的温度应力耦合环境,对50×50×100mm的标准岩石试样在最高460℃试样稳定温度下进行单轴、常规三轴、真三轴、蠕变与循环加卸载等复杂应力路径试验;(2)采用全刚性加载框架,三个方向(σ1、σ2、σ3)独立加载,其中σ1方向可输出1000MPa的应力,σ2与σ3方向可输出200MPa的应力;(3)采用特种耐高温钢与水冷循环系统以保证在高温下试验系统的整体刚度与工作稳定性;(4)高温温度控制系统采用六回路可拆卸式柔性加热组件与高分子保温套对岩石试样进行加热与保温,加热组件通过温控箱控制,可对加热系统内每一回路进行单独的温度监控与控制,并可实时检测岩石试样的温度;(5)采用高精度闭环伺服控制系统,配合位移传感器,可实现位移与压力的精准控制,模拟多种应力路径,并获取应力-应变曲线。该系统可在高温环境下实时进行试验,为高温-应力耦合研究提供了新的研究方法。
上述工作得到国家重点研发计划(2018YFC0809601)、国家自然科学基金资助项目(51479193、51779252)、湖北省技术创新重大专项资助(2017AAA128)等项目资助。

全刚性加载系统

温度应力耦合试验

高温真三轴试验结果